駭客數學題庫光碟Ch11 P1,2

版主: thepiano

回覆文章
hwm0219
文章: 61
註冊時間: 2013年 11月 29日, 20:25

駭客數學題庫光碟Ch11 P1,2

文章 hwm0219 »

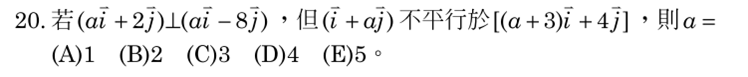
圖片1.png
圖片1.png (19.51 KiB) 已瀏覽 17842 次
ANS:B
圖片2.png
圖片2.png (9.4 KiB) 已瀏覽 17842 次
ANS:5/2
圖片3.png
圖片3.png (20.78 KiB) 已瀏覽 17842 次
ANS:D

dream10
文章: 304
註冊時間: 2009年 2月 15日, 00:00

Re: 駭客數學題庫光碟Ch11 P1,2

文章 dream10 »

請參考附件
有錯跟我說一下
附加檔案
駭客數學題庫光碟Ch11 P1,2ans.doc
(29.5 KiB) 已下載 1314 次

hwm0219
文章: 61
註冊時間: 2013年 11月 29日, 20:25

Re: 駭客數學題庫光碟Ch11 P1,2

文章 hwm0219 »

dream10老師
為何
圖片2.gif
圖片2.gif (969 Bytes) 已瀏覽 17832 次
不取負的值呢?

頭像
thepiano
文章: 6011
註冊時間: 2008年 7月 29日, 10:12

Re: 駭客數學題庫光碟Ch11 P1,2

文章 thepiano »

因為兩向量的夾角,是在 0 度和 180 度之間,所以 sinθ 取正不取負
最後由 thepiano 於 2013年 12月 8日, 08:45 編輯,總共編輯了 1 次。

dream10
文章: 304
註冊時間: 2009年 2月 15日, 00:00

Re: 駭客數學題庫光碟Ch11 P1,2

文章 dream10 »

因為sin第一象限跟第二象限都是正的

回覆文章

回到「國小教甄數學科問題交流及討論區」